1. Was ist die Normalverteilung

"Dazu gibts keine praktischen Beispiele glaub ich. Also zum Rechnen. Normalverteilung is einfach die glockenfubktion. Bei Normalverteilung rechnet man eig immer mit Tabelle" ~ Benjo

Was meint Benjo damit? - Normalverteilung und Standardnormalverteilung ist dasselbe.

Bisher haben wir immer mit diskreten Zufallsvariablen gearbeitet, die nur bestimmte Werte annehmen.

Bei der Normalverteilung werden stetige Zufallsvariablen behandelt, die in einem gewissen Berreich jeden beliebigen Wert annehmen können.

Weil eine stetige Zufallsvariable unendlich viele Werte annehmen kann, ist es unmöglich, für jeden einzelnen Wert die Wahrscheinlichkeit zu berrechnen. Deswegen gibt es keine Wahrscheinlichkeitsfunktion wie bei diskreten Zufallsvariablen

2. Daniel Jung Abi (gutes Beispiel)

3. Simple Math - Zusammenhang Binomialverteilung und Normalverteilung

4. Simple Math - Normalverteilung

4.1. Zusammengefasst by Dave

4.1.1. Dichtefunktion der Normalverteilung

image 2021 11 13 16 30 08 123

In dem Diagramm unten sehen wir das f(x) die Dichtefunktion ist. F(x0) ist die Verteilungsfunktion.

Wie schon bei der Binomialverteilung gesagt, is F(x0) die Summe der Einzelwahrscheinlichkeit bis zu diesem Wert.

image 2021 11 13 16 30 37 033

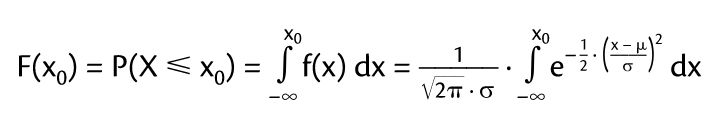
Die Formel fur F(x) lautet:

image 2021 11 13 16 33 37 505

Um diese Formel aber zu vermeiden, verwenden wir die Standardnormalverteilung

5. Merkmale und Eigenschaften der Glockenkurve

5.1. Funktion

image 2021 11 13 16 39 34 714

5.2. Fläche

image 2021 11 13 16 40 18 825

6. Mini Zusammenfassung

image 2021 11 13 16 40 52 473

7. Mathe SA Index